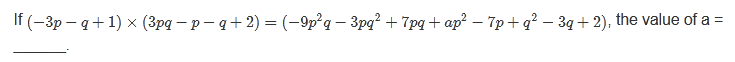
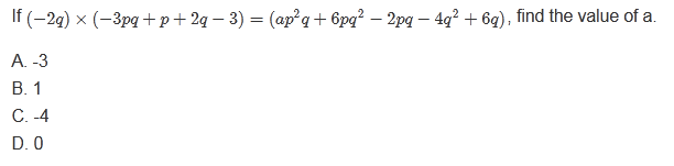
Multiplication of Polynomials Videos for Grade 8
Find all Video Solutions for Grade 8 - Chapter: Multiplication of Polynomials on Wizert. Study smart with our Grade 8 video Solutions solved by our expert tutors. No need to hunt for books in the market or to jump from website to website, find all Grade 8 Multiplication of Polynomials video solutions on a single page. Share these solutions with your friends or on your social media – help us spread the word. Best of luck with your Grade 8 examination. Turn Grade 8 into a part of the solution with these Video Solutions for Grade 8 - Chapter: Multiplication of Polynomials.